Idioma:
Español
Español
Português
Español
Português
Buscar
Iniciar sesión
REACTIVOS
INSTRUMENTOS
CONSUMIBLES
OFERTAS
DESTACADOS
FABRICANTES
PUBLICACIONES CIENTÍFICAS
DESCARGAS
NEWSLETTERS
BIOGEN Científica
Reactivos
SANTA CRUZ
Biochemical Reagents sc
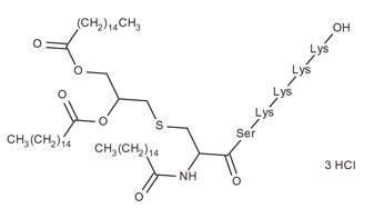
Pam₃Cys-Ser-(Lys)₄, Hydrochloride
Pam₃Cys-Ser-(Lys)₄, Hydrochloride
Ref: STC-SC-507471
2 mg
Información del producto
Pam₃Cys-Ser-(Lys)₄, Hydrochloride
Click here for Data Sheet in PDF
Click here for image
Información adicional
Size
2 mg
Storage Conditions
Store at RT
Shipping Conditions
Ambient
CAS Number
112208-00-1
Smiles
1S/C81H156N10O13S/c1-4-7-10-13-16-19-22-25-28-31-34-37-40-55-73(93)86-72(65-105-64-66(104-75(95)57-42-39-36-33-30-27-24-21-18-15-12-9-6-3)63-103-74(94)56-41-38-35-32-29-26-23-20-17-14-11-8-5-2)80(100)91-71(62-92)79(99)89-68(52-44-48-59-83)77(97)87-67(51-4
UNSPSC
12352200