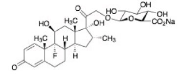
Dexamethasone β-D-Glucuronide Sodium Salt
  • Dexamethasone β-D-Glucuronide Sodium Salt

Dexamethasone β-D-Glucuronide Sodium Salt

Ref: STC-SC-211277

Información del producto

Información adicional
Size 1 mg
Storage Conditions Store at -20 °C
Shipping Conditions Ambient
CAS Number 105088-08-2
Smiles C[C@@H]1C[C@H]2[C@@H]3CCC4=CC(=O)C=C[C@@]4([C@]3([C@H](C[C@@]2([C@]1(C(=O)CO[C@H]5[C@@H]([C@H]([C@@H]([C@H](O5)C(=O)O)O)O)O)O)C)O)F)C
Harmonized Code 2937220000