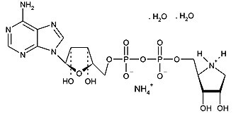
ADP-HPD ammonium salt dihydrate
  • ADP-HPD ammonium salt dihydrate

ADP-HPD ammonium salt dihydrate

Ref: STC-SC-205927

Información del producto

Información adicional
Size 60 µg
Storage Conditions Store at -20 °C
Shipping Conditions Ambient
Harmonized Code 2934999090