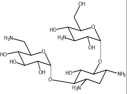
Kanamycin A Monosulfate
  • Kanamycin A Monosulfate

Kanamycin A Monosulfate

Ref: STC-SC-205358A

Información del producto

Información adicional
Size 5 g
Storage Conditions Store at RT
Shipping Conditions Ambient
CAS Number 25389-94-0
Harmonized Code 2941900000