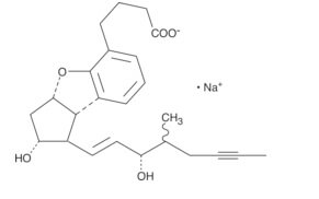
Beraprost sodium salt
  • Beraprost sodium salt

Beraprost sodium salt

Ref: STC-SC-204644A

Información del producto

Información adicional
Size 5 mg
Storage Conditions Store at -20 °C
Shipping Conditions Dry
CAS Number 88475-69-8