NF 110
  • NF 110

NF 110

Ref: STC-SC-203642

Información del producto

Información adicional
Size 10 mg
Shipping Conditions Ambient
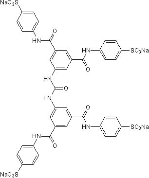
CAS Number 111150-22-2
Smiles C1=CC(=CC=C1NC(=O)C2=CC(=CC(=C2)NC(=O)NC3=CC(=CC(=C3)C(=O)NC4=CC=C(C=C4)[S+](=O)([O-])[O-])C(=O)NC5=CC=C(C=C5)[S+](=O)([O-])[O-])C(=O)NC6=CC=C(C=C6)[S+](=O)([O-])[O-])[S+](=O)([O-])[O-].[Na+].[Na+].[Na+].[Na+]
Harmonized Code 2924297099