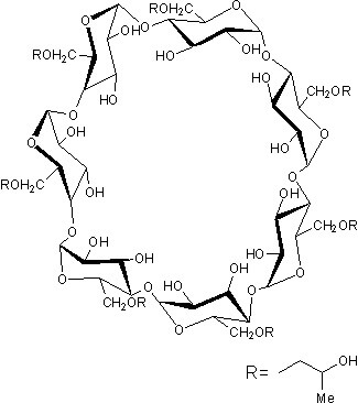
2-Hydroxypropyl-β-cyclodextrin
  • 2-Hydroxypropyl-β-cyclodextrin

2-Hydroxypropyl-β-cyclodextrin

Ref: STC-SC-203461B

Información del producto

Información adicional
Size 100 g
Storage Conditions Store at RT
Shipping Conditions Ambient
CAS Number 128446-35-5
Smiles CC(COCC1C2C(C(C(O1)OC3C(OC(C(C3OCC(C)O)OCC(C)O)OC4C(OC(C(C4OCC(C)O)OCC(C)O)OC5C(OC(C(C5OCC(C)O)OCC(C)O)OC6C(OC(C(C6OCC(C)O)OCC(C)O)OC7C(OC(C(C7OCC(C)O)OCC(C)O)OC8C(OC(O2)C(C8OCC(C)O)OCC(C)O)COCC(C)O)COCC(C)O)COCC(C)O)COCC(C)O)COCC(C)O)COCC(C)O)OCC(C)O)OCC
Harmonized Code 2940000080