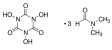
N,N',N"-Trihydroxyisocyanuric acid dimethylformamide complex

Ref: STC-SC-507173

Información del producto

N,N',N"-Trihydroxyisocyanuric acid dimethylformamide complex

Click here for DataSheet in PDF

Click here for more product information in PDF

Información adicional
Size 1 g
Storage Conditions Store at RT
Shipping Conditions Ambient
CAS Number 1173023-16-9
Smiles CN(C)C=O.CN(C)C=O.CN(C)C=O.C1(=O)N(C(=O)N(C(=O)N1O)O)O