Língua:
Português
Español
Português
Español
Português
Pesquisar
Iniciar sesión
REAGENTES
INSTRUMENTOS
Consumiveis
OFERTAS
DESTAQUES
FABRICANTES
Publicações Científicas
DOWNLOADS
NEWSLETTERS
BIOGEN Científica
Reagentes
SANTA CRUZ
Biochemical Reagents sc
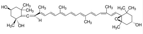
Neoxanthin
Neoxanthin
Ref: STC-SC-506409
1 mg
Información del producto
Neoxanthin
Click here for Data Sheet in PDF
Click here for image
Información adicional
Size
1 mg
Storage Conditions
Store at -20 °C
Shipping Conditions
Dry
CAS Number
14660-91-4
Smiles
C/C(=C\C=C\C=C(/C)\C=C\C=C(/C)\C=C=C1[C@](C[C@H](CC1(C)C)O)(C)O)/C=C/C=C(/C)\C=C\[C@]23[C@](O2)(C[C@H](CC3(C)C)O)C
UNSPSC
12352200