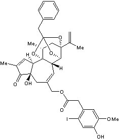
6′-Iodoresiniferatoxin
  • 6′-Iodoresiniferatoxin

6′-Iodoresiniferatoxin

Ref: STC-SC-202025

Información del producto

Información adicional
Size 1 mg
Storage Conditions Store at -20 °C
Shipping Conditions Dry
CAS Number 335151-55-8
Smiles C[C@@H]1C[C@]2([C@H]3C4[C@]1([C@@H]5C=C(C(=O)[C@]5(CC(=C4)COC(=O)CC6=CC(=C(C=C6I)O)OC)O)C)O[C@](O3)(O2)CC7=CC=CC=C7)C(=C)C
Harmonized Code 2932990090