Língua:
Português
Español
Português
Español
Português
Pesquisar
Iniciar sesión
REAGENTES
INSTRUMENTOS
Consumiveis
OFERTAS
DESTAQUES
FABRICANTES
Publicações Científicas
DOWNLOADS
NEWSLETTERS
BIOGEN Científica
Reagentes
SANTA CRUZ
Biochemical Reagents sc
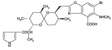
Antibiotic A-23187, 4-Bromo
Antibiotic A-23187, 4-Bromo
Ref: STC-SC-200193
1 mg
Información del producto
Antibiotic A-23187, 4-Bromo
Click here for Data Sheet in PDF
Click here for image
Información adicional
Size
1 mg
Storage Conditions
Store at -20 °C
Shipping Conditions
Dry
CAS Number
76455-82-8
Smiles
CC1CCC2(C(CC(C(O2)C(C)C(=O)C3=CC=CN3)C)C)OC1CC4=NC5=C(C(=C(C=C5O4)Br)NC)C(=O)O
Harmonized Code
2941900000
2941900000
UNSPSC
12352200